Anexo 5 Ruido de C. León
ANEXO V. MÉTODOS DE EVALUACIÓN.
GPT Iberley IA
Copiloto jurídico
V.1. Método de evaluación de niveles de inmisión sonora en inspección de actividades:
-
La evaluación se llevará a cabo en el lugar en que su valor sea más alto y, si fuera preciso, en el momento y situación en que las molestias sean más acusadas.
-
En el caso de evaluaciones en viviendas, por defecto, las comprobaciones se realizarán en los dormitorios.
-
Las mediciones se realizarán conforme al siguiente protocolo:
-
En el interior de recintos se deberá medir con las puertas y ventanas cerradas
-
El exterior de recintos se medirá a 1.5 metros de las fachadas o límites de las propiedades que puedan estar afectadas por la inmisión de los niveles sonoros. Dichas medidas, con carácter excepcional, podrán hacerse a 0,5 metros de una ventana abierta. La velocidad del viento para que la medida se dé por válida debe ser inferior a 3 m/s.
-
El equipo de medida se colocará sobre un trípode, salvo en las mediciones que no permitan su utilización.
-
El equipo de medida se verificará con carácter previo al inicio de la medida.
-
Las posiciones de medida en el interior de recintos se seleccionarán de forma que se guarde una distancia superior a 1 metro respecto a los cerramientos que lo delimitan. En caso de imposibilidad de cumplir con este requisito, se medirá en el centro de la habitación.
-
Se emplearán al menos tres posiciones de medida distintas, separadas, si es posible, al menos 0,7 m entre ellas
-
El técnico se situará lo más alejado posible de dicho equipo de forma que sea compatible con la lectura de los niveles sonoros
-
En cada recinto o zona receptora considerada se aplicará un procedimiento de muestreo consistente en realizar una serie de tres medidas del LAeq dB(A), de 5 segundos cada una, y cada medida separada 3 minutos de la anterior.
-
En cada recinto o zona receptora también se realizará un muestreo del nivel de ruido de fondo de igual forma a la que se ha indicado anteriormente, pelo en ausencia de funcionamiento del emisor acústico evaluado.
-
El nivel de inmisión sonora medido en cada punto se corregirá por el nivel de ruido de fondo existente en dicho punto. Dicha corrección será la siguiente:
-
Si la diferencia entre el nivel de inmisión sonora y el nivel de ruido de fondo es mayor de 10 dB(A) no se realizará corrección
-
Si la diferencia se encuentra entre 3 y 10 dB(A) se aplicará la siguiente fórmula:

-
Si la diferencia es inferior a 3 dB(A), no podrá darse un valor exacto si bien se estima que el valor resultante será inferior al que resulte de restar 3 dB(A) al valor mayor.
-
- Corrección por reflexiones: En el exterior de recintos los niveles de ruido obtenidos en la medición frente a una fachada u otro elemento reflectante, cuando la distancia del micrófono a ella se encuentre entre 0,5 m y 2 m, deberán corregirse para excluir el efecto reflectante del mismo restando 3 dB(A) al valor obtenido.
-
Corrección por componentes tonales (Kt), impulsivas (Ki) o bajas frecuencias (K f): Cuando en el proceso de medición de un ruido se detecte con claridad la presencia de componentes tonales emergentes, o componentes de baja frecuencia, o sonidos de alto nivel de presión sonora y corta duración debidos a la presencia de componentes impulsivos. o de cualquier combinación de ellos, se procederá a realizar una evaluación de dichas componentes de la siguiente forma:
Presencia de componentes tonales emergentes:
Para la evaluación detallada del ruido por presencia de componentes tonales emergentes se tomará como procedimiento de referencia el siguiente:
-
Se realizará en cada punto de medida el análisis espectral del ruido en 1/3 de octava, sin filtro de ponderación.
-
Se calculará la diferencia: Lt = Lf- Ls
donde:
-
Lf, es el nivel de presión sonora de la banda f, que contiene el tono emergente.
-
Ls, es la media aritmética de los dos niveles siguientes, el de la banda situada inmediatamente por encima de f y el de la banda situada inmediatamente por debajo de f.
-
Se determinará la presencia o la ausencia de componentes tonales y el valor del parámetro de corrección Kt aplicando la tabla siguiente:
| Banda de frecuencia 1/3 de octava | Lt en dB | Componente tonal Kt en dB |
| De 20 a 125 Hz | Si Lt <8 | 0 |
| Si 8 ≤ Lt ≤ 12 | 3 | |
| Si Lt > 12 | 6 | |
| De 160 a 400 Hz | Si Lt < 5 | 0 |
| Si 5 ≤Lt ≤ 8 | 3 | |
| Si Lt > 8 | 6 | |
| De 500 a 10000Hz | Si Lt %lt; 3 | 0 |
| Si 3 ≤ Lt ≤ 5 | 3 | |
| Si Lt > 5 | 6 |
-
En el supuesto de la presencia de más de una componente tonal emergente se adoptará como valor del parámetro Kt, el mayor de los correspondientes a cada una de ellas.
Presencia de componentes de baja frecuencia:
Para la evaluación detallada del ruido por presencia de componentes de baja frecuencia se tomará como procedimiento de referencia el siguiente:
-
Se medirá, preferiblemente de forma simultánea, los niveles de presión sonora con las ponderaciones írecuenciales A y C.
-
Se calculará la diferencia entre los valores obtenidos de la siguiente forma:
| Lf = LCeq,T - LAeq,T |
-
Se determina la presencia o la ausencia de componentes de baja frecuencia y el valor del parámetro de corrección Kf aplicando la tabla siguiente:
| Lf en dB | Componente de baja frecuencia K, en dB |
| Si Lf ≤ 10 | 0 |
| Si 10 > Lf ≤ 15 | 3 |
| Si Lf > 15 | 6 |
Presencia de componentes impulsivos.
Para la evaluación detallada del ruido por presencia de componentes impulsivos se tomará como procedimiento de referencia el siguiente:
-
Se medirá, preferiblemente de forma simultánea, los niveles de presión sonora continuo equivalente ponderado A. en un periodo de duración de 5 segundos. en el cual se percibe el ruido impulsivo, LAeq,T, y con la constante temporal impulso (1) del equipo de medida, LAeq,T.
-
Se calculará la diferencia entre los valores obtenidos: Li = LAleq,T - LAeq,T
-
Se determinará la presencia o la ausencia de componente impulsiva y el valor del parámetro de corrección Ki aplicando la tabla siguiente:
| Li en dB | Componente impulsiva Ki en dB |
| Si Li ≤ 10 | 0 |
| Si 10 > Li ≤ 15 | 3 |
| Si Li > 15 | 6 |
-
El valor resultante de la medición y que se empleará para evaluar el cumplimiento de los límites acústicos será el LAeq.5s dB(A) más alto de los obtenidos en los muestreos, una vez aplicada la corrección por el nivel de ruido de fondo.
-
En caso de que se hubiesen detectado componentes tonales, impulsivas o de baja frecuencia procedentes de la actividad, el valor resultante de la medición viene dado por la siguiente expresión:
LKeq,T + kt + kf + ki
donde:
T = 5 segundos.
El valor máximo de la corrección resultante de la suma kt + kf + ki no puede ser mayor que 9 dB(A). En caso de que fuese mayor que 9 dB(A), se aplicará como valor de corrección 9 dB(A).
-
El informe deberá incluir, como mínimo, la siguiente información:
-
Peticionario del informe.
-
Fecha de realización de las medidas.
-
Clara identificación de los focos sonoros evaluados.
-
Instrumentación empleada, incluyendo marca, modelo, número de serie y certificado actualizado de su última verificación periódica o en su caso certificado de verificación primitiva
-
Resultados y fecha de emisión del informe.
V.2. Método de evaluación de los indices de ruido de infraestructuras viarias. ferroviarias V aeroportuarias, asi como de niveles de ruido ambiental.
-
a) La evaluación se realizará mediante métodos de cálculo predictivos, durante los periodos de evaluación (Lden y Ln y, en su caso, Ld y Le)
Los métodos de evaluación son los establecidos en el Anexo II del Real Decreto 1513/2005, de 16 de diciembre.
-
Para evaluar el índice de ruido LAmax, se medirá el más alto nivel de presión sonora ponderado A, en decibelios, con constante de integración fast, LAFmax en al menos tres puntos de medida en el área acústica donde se quiera realizar la evaluación y en el momento en que el emisor genere un mayor nivel sonoro. El valor resultante será el más alto de los valores obtenidos.
V.3. Método de evaluación de aislamientos acústicos.
-
El procedimiento de medida y valoración de los aislamientos acústicos entre recintos será el definido por la Norma UNE EN ISO 140-4:1999 o norma que la sustituya.
-
Como mínimo se emplearán dos posiciones de fuente en el recinto emisor y, para cada una de ellas, cinco posiciones de micrófono en el recinto emisor y cinco en el recinto receptor.
-
La fuente sonora empleada en este tipo de evaluaciones tendrá las características exigidas por la Norma UNE FN 1S0 140-4:1999, no pudiendo emplearse en ningún caso los equipos de música de locales.
-
Las posiciones de micrófono en el recinto emisor se ubicarán de forma que coincidan en planta con el recinto receptor, y en el caso de recintos no coincidentes en planta en la zona más próxima al recinto receptor, y siempre estarán alejadas más de 2 metros de la fuente sonora.
-
En el recinto receptor se medirá el nivel de ruido de fondo existente.
-
Para la medida del tiempo de reverberación en el recinto receptor, se empleará al menos una posición de fuente y tres posiciones de micrófono. En cada posición de micrófono se tomarán dos valores.
-
Las mediciones se realizarán en las bandas de tercio de octava entre 100 y 5000Hz.
-
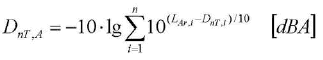
El valor global de aislamiento acústico entre recintos se calculará según la siguiente expresión:

Siendo:
-
DnT,i diferencia de niveles estandarizada en la banda de frecuencia i, [dB];
-
i recorre todas las bandas de frecuencia de tercio de octava de 100 a 5000 Hz;
-
LAr,i valor del espectro normalizado de ruido rosa, ponderado A, según la siguiente tabla:
| fi | LAr,i | fi | LAr,i |
| Hz | dBA | Hz | dBA |
| 100 | -30,1 | 800 | -11,8 |
| 125 | -27,1 | 1000 | -1 1,O |
| 160 | -24,4 | 1250 | -10,4 |
| 200 | -21,9 | 1600 | -10,0 |
| 250 | -19,6 | 2000 | -9,8 |
| 115 | -17.6 | 2500 | -9.7 |
| 400 | -15,8 | 3150 | -9.8 |
| 500 | -14,2 | 4000 | -10 |
| 630 | -12,9 | 5000 | -10,5 |
a) En el caso de medidas de aislamiento aciastico de fachadas de actividades molestas, se emplearán al menos tres posiciones de micrófono en el interior del local, en la zona comprendida entre la fuente y la iáchada, y tres posiciones de micrófono en el exterior del local, a 1\'5 metros de la fachada, distribuidos uniformemente a lo largo de ella. Si existe más de una fachada los aislamientos acústicos se evaluarán para cada una de ellas por separado. Las mediciones se realizarán en las bandas de tercio de octava entre 100 y 5000 Hz, y el valor global de la diferencia de niveles, D (dBA), se calculará según la ecuación del apartado i, empleando el parámetro D en vez del DnT.
b) En edificación el aislamiento de fachadas se medirá según la norma UNE EN 1SO 140-5:1999 u otra que la sustituya, empleando el método de altavoz. Las mediciones se realizarán en las bandas de tercio de octava entre 100 y 5000 Hz, y el valor global de la diferencia de niveles estandarizada, D2m,nT,Atr (dBA), se obtendrá mediante la siguiente expresión:
Siendo:
- D2m,nT,Atr diferencia de niveles estandarizada en la banda de frecuencia i, [dB];
- i recorre todas las bandas de frecuencia de tercio de octava de 100 a 5000 Hz;
- LAtr,i valor del espectro normalizado del ruido de automóviles, ponderado A, según la siguiente tabla:
| fi | LAtr,i | fi | LAtr,i |
| Hz | dBA | Hz | dBA |
| 100 | -20 | 800 | -9 |
| 125 | -20 | 1000 | -8 |
| 160 | -18 | 1250 | -9 |
| 200 | -16 | 1600 | -10 |
| 250 | -15 | 2000 | -11 |
| 315 | -14 | 2500 | -13 |
| 400 | -1, | 1150 | -15 |
| 500 | -12 | 4000 | -16 |
| 630 | -11 | 5000 | -18 |
a) En el informe se deberá incluir, como mínimo, la siguiente información:
- Peticionario del informe.
- Fecha de realización de las medidas.
- Clara identificación de los recintos emisor v receptor indicando el número de posiciones de micrófono empleadas.
- Croquis con la ubicación de las posiciones de fuente y los puntos de medida.
- Instrumentación empleada, incluyendo marca, modelo, número de serie Y certificado actualizado de su última verificación periódica anual.
- Resultados y fecha de emisión del informe.
V.4. Método de evaluación de tiempos de reverberación
a) La determinación del tiempo de reverberación de aulas, salas de conferencias, comedores, y restaurantes, se realizará empleando el método de la norma UNE EN ISO 3382:2001 o norma que la sustituya.
b) Se emplearán como mínimo dos posiciones de fuente, y para cada posición de fuente se seleccionarán al menos tres puntos de medida en la sala, distribuidos uniformemente y guardando una distancia superior a 1 metro respecto a las superficies reflectantes más cercanas, y 2 metros entre filas
c) En cada punto de medida se realizarán tres mediciones del tiempo de reverberación (TR20 o TR30) en las bandas de octava entre 125 y 4000 Hz.
d) El valor global del tiempo de reverberación se calculará obteniendo la media aritmética de los valores promedio en las bandas de frecuencia de 500,1000 y 2000 Hz.
e) El informe contendrá como mínimo la siguiente información:
- Peticionario del informe.
- Fecha de realización de las medidas.
- Croquis con localización de la fuente sonora y los puntos de medida.
- Instrumentación empleada, incluyendo marca, modelo, número de serie y certificado actualizado de su última Verificación periódica anual
- Resultados y fecha de emisión del informe.
V.5. Mctodo de evaluación de ruidos producidos por impactos.
a) Se empleará el procedimiento de medida y valoración definido por la Norma UNE EN ISO 140-7:1999 o norma que la sustituya. Se utilizará como fuente generadora de nudos de impacto una máquina de impactos normalizada conlbrme al Anexo A de dicha norma.
b) Dicha máquina de impactos se ubicará al menos en cuatro posiciones distribuidas en el local emisor, en las zonas susceptibles de producirse ruidos por vía estructural. Dichas posiciones se indicarán en un croquis.
c) Para cada posición de máquina, se realizarán tres mediciones del Leq 10s, en la sala receptora. El micrófono se ubicará sobre un trípode y a más de 0,5 metros de las paredes del recinto receptor.
d) Posteriormente se apagará la máquina de impactos y se realizará una medición del ruido de fondo en las mismas posiciones de medida para poder realizar las correcciones oportunas.
e) Para la medida del tiempo de reverberación en el recinto receptor, se empleará al menos una posición de fuente y tres posiciones de micrófono. En cada posición de micrófono se tomarán al menos dos valores.
f) El valor global del nivel de presión de ruido de impacto estandarizado, L\'nT (dB), se calculará según lo establecido en la Norma UNE EN ISO 717-2:1997 o norma que la sustituya.
- Artículo modificado (Anexo V (párrafo decimoprimer, apdo. 2.a) y 5.c), se modifican)) por DECRETO 38/2019, de 3 de octubre, por el que se modifican los Anexos II, III, IV, V y VII de la Ley 5/2009, de 4 de junio, del Ruido de Castilla y León y el Anexo de la Ley 7/2006, de 2 de octubre, de Espectáculos Públicos y Actividades Recreativas de la Comunidad de Castilla y León.
(CL de 07-10-2019) en vigor desde 27-10-2019
